Home
About Us
Corporate Overview
Certificate
Organizational Structure
Subsidiaries
Our Portfolio
Aircraft
Aerostructure
Aircraft & Engine Services
Engineering Services & Weapon System
Info
News
Press Release
Procurement Info
Photo Gallery
Video Gallery
Contact
EN
ID
Procurement Info
Search
Home
Media /
Procurement Info
Detail
August 04th, 2025
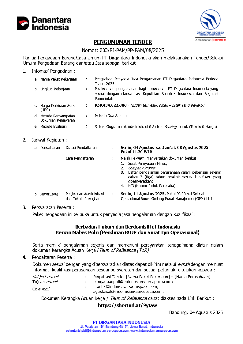
PENGUMUMAN TENDER/SELEKSI UMUM PENGADAAN PENYEDIA JASA PENGAMANAN PT DIRGANTARA INDONESIA PERIODE TAHUN 2025
May 04th, 2026
PENGUMUMAN PERPANJANGAN PEMBUKAAN PENDAFTARAN TENDER / SELEKSI UMUM PENGADAAN PERANGKAT KOMPUTANSI, STORAGE DAN PERBAIKAN FASILITAS DATA CENTER PT.DIRGANTARA INDONESIA
April 21st, 2026
PENGUMUMAN PEMBUKAAN PENDAFTARAN TENDER / SELEKSI UMUM PENGADAAN PERANGKAT KOMPUTANSI, STORAGE DAN PERBAIKAN FASILITAS DATA CENTER PT.DIRGANTARA INDONESIA
February 24th, 2026
PENGUMUMAN PEMBUKAAN PENDAFTARAN TENDER / SELEKSI UMUM PENGADAAN TEKNOLOGI REFRESHMENT INFRASTRUKTUR JARINGAN HANGGAR FINAL ASSEMBLY LINE (FAL) N219 PT DIRGANTARA INDONESIA
December 18th, 2025
PENGUMUMAN PEMBUKAAN PENDAFTARAN TENDER / SELEKSI UMUM PENGADAAN PEMBAHARUAN INFRASTRUKTUR SAP & DRC UNTUK PESAWAT N219 DAN PRODUK PESAWAT LAINNYA
December 03rd, 2025
PEMBUKAAN PENDAFTARAN TENDER / SELEKSI UMUM PENGADAAN JASA PENGAMANAN PT DIRGANTARA INDONESIA PERIODE TAHUN 2026
November 14th, 2025
PENGUMUMAN RE-TENDER PENGADAAN ROBOTIC DRILLING SYSTEM PROGRAM PESAWAT N219
August 22nd, 2025
Pengumuman Tender Pengadaan Robotic Drilling System Program N219
August 04th, 2025
PENGUMUMAN TENDER/SELEKSI UMUM PENGADAAN PENYEDIA JASA PENGAMANAN PT DIRGANTARA INDONESIA PERIODE TAHUN 2025
July 30th, 2025
OPEN TENDER JIG PLATFORM & JIG WING N219
July 18th, 2025
Publikasi Pembukaan Pendaftaran Pengadaan Infrastruktur Cyber Security PT Dirgantara Indonesia
Search Procurement
Keyword
Period Date
Clear
Search